大会レポート
▼ 第21回 尾張優魚会 品評会(2015年9月20日)

大会受け付け

大会受け付け

出品魚の受け付け
審査前溜め池

親魚の部・二歳魚の部 出陳魚

当歳魚大の部 出陳魚

当歳魚小の部 出陳魚
審査風景

審査風景
(親魚の部・二歳魚の部)

審査員:川合実次氏 木暮 実氏 都築俊幸氏 小山徹志氏 高須一三氏
(当歳魚大の部)

審査員:飯島紳一氏 影山 繁氏 三田保之氏 清田良也氏 鈴木和男氏 川口敦司氏
(当歳魚小の部)

審査員:鎌田芳男氏 松田力三氏 野口 弘氏 伊藤弘之氏 出口智教氏
会場風景


大会寄付一覧

丸照養魚場様 (株)ミシロ様 (株)スドー様 (株)キョーリン様
津島愛錦クラブ様 石丸満春様 名古屋金魚愛好会様 蒲郡錦友会様
浜松愛魚会様 観栄らんちう会様 紀州らんちゅう同好会様 浜田水産様
智教らんちゅう様 桑名愛錦会様 知多昇蘭会様 山梨錦城会様
清田良也様 錦友会様 三共組様 丹下 常様 (順不同)
表彰式

今年度総合優勝者表彰 山口広隆氏(津)

前年度総合優勝者へのトロフィー贈呈 高須一三氏(名古屋)
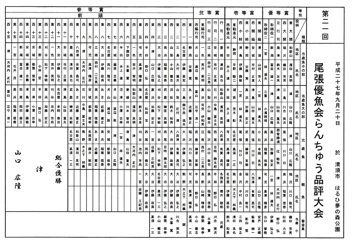
番付表

親魚の部 役魚

【優等魚動画】


稲沢 川口敦司氏


美浜 稲葉信泰氏


津 大河内正行氏


一宮 林 達夫氏


可児 高津晴彦氏


津 山口広隆氏


八百津 有賀昌司氏


稲沢 川口敦司氏


金沢 中村良一氏


熊野 木之下邦義氏


名古屋 伊藤高宏氏


各務原 櫻井敏郎氏


半田 野口 弘氏


美浜 稲葉信泰氏


長野 山崎晴彦氏


半田 野口 弘氏
二歳魚の部 役魚

【優等魚動画】


津 山口広隆氏


尾張 川口 功氏


那智勝浦 辻 敏秋氏


高浜 加藤安正氏


美浜 稲葉信泰氏


小松 寺越良市氏


尾張 川口 功氏


武豊 榊原英樹氏


尾張 川口 功氏


名古屋 高須一三氏


可児 高津晴彦氏


八百津 有賀昌司氏


西尾 目時勝太郎氏


稲沢 川口敦司氏


江南 西村二三男氏


武豊 榊原英樹氏
当歳魚大の部 役魚

【優等魚動画】


津 山口広隆氏


三島 川合実次氏


津島 山田重夫氏


津 山口広隆氏


三重 小濱照明氏


一宮 林 達夫氏


津島 山田重夫氏


高浜 加藤安正氏


一宮 林 達夫氏


湖西 茂木 彰氏


半田 井上 達氏


和歌山 濱田英明氏


石川 中島富士夫氏


山梨 小山徹志氏


高浜 可児伊和男氏


富山 江守淳一氏
当歳魚小の部 役魚

【優等魚動画】


和歌山 濱田英明氏


稲沢 鎌田芳男氏


海津 鈴木友来氏


新潟 富岳雄一氏


一宮 林 達夫氏


清須 山田芳人氏


安城 市村正直氏


静岡 安藤 寛氏


津島 伊藤勝敏氏


静岡 平野睦二氏


半田 井上 達氏


豊橋 清田良也氏


安城 市村正直氏


江南 西村二三男氏


一色 荒井実明氏


犬山 渡辺 敦氏
